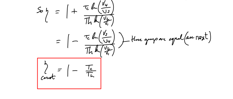
Carnot cycle efficiency

carneff1 carneff2

Comments are closed.